Kunci Jawaban Uji Kompetensi 6 Matematika Kelas 8 Semester 2
Artikel ini dibuat untuk mempermudah siswa dalam mengerjakan soal soal yang terdapat didalam buku siswa diharapkan dengan adanya kunci jawaban ini dapat meningkatkan kekampuan dan minat.
Kunci jawaban uji kompetensi 6 matematika kelas 8 semester 2. Berikut ini adalah pembahasan dan Kunci Jawaban PPKN Kelas 8 Semester 2 Halaman 93 94 Bab 4 Semangat Kebangkitan Nasional Tahun 1908 Uji Kompetensi 4 Hal 93 94 Nomor 1 - 5 Essai. Bunyi Teorema Pythagoras adalah Kuadrat sisi miring sama dengan jumlah kuadrat kedua sisi penyikunya. Uji kompetensi 5 kelas 7 ini diambil dari buku paket matematika kelas 7 SMP Semester Kurikulum 2013 tepatnya ada di halaman 98-100Soal Uji Kompetensi 6 matematika kelas 7 ini berisi soal tentang materi Aritmatika Sosial Uji Kompetensi 6 adalah bahan evaluasi setelah adik.
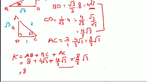
Kunci Jawaban MATEMATIKAKelas 8 Uji Kompetensi 6 Halaman 45 46 47 48 49 50 51 52 Semester 2 Kurikulum 2013 soal pada kunci jawaban ini bersumber dari. Sisi miring Hipotenusa biasanya sisi yang terpanjang diantara sisi-sisi lainnya. Semoga dengan adanya pembahasan serta kunci jawaban ini adik-adik kelas 8 dapat menyelesaikan tugas.
Soal dan jawaban ini merupakan materi teorema pythagoras. Kunci Jawaban Buku Paket Ayo Kita Mengerjakan Projek 101 Halaman 284 Kelas 8 Matematika Semester 2 Kurikulum 2013 LENGKAP. Bab 6 Teorema Pythagoras Ayo Kita berlatih 62 Hal 22 Nomor 1 - 5 Essai.
Nama sekolah mata pelajaran kelas semester. Semoga dengan adanya pembahasan serta kunci jawaban ini adik-adik kelas 8 dapat menyelesaikan tugas Teorema Pythagoras Kelas 8. Jawaban Masalah 22 Matematika Kelas 12 Halaman 76 Bab 2 Statiska Jawaban Ayo Kita Berlatih 32 Halaman 102 Matematika Kelas 8 Relasi Dan Fungsi Jawaban Uji Kompetensi Bab 1 Matematika Kelas 12 Halaman 25 Dimensi Tiga Jawaban Uji Kompetensi Bab 2 Halaman 79 Kelas 12 Statiska.
Kunci jawaban ini dibuat untuk membantu mengerjakan soal matematika bagi kelas 8 di semester 1 halaman 66 - 70. Kkaktri kali ini akan berbagi jawaban tentang Uji Kompetensi 6 matematika kelas 7 semester 2 Soal Essay halaman 98 -100. Teorama Pythagoras adalah rumus untuk mencari sisi-sisi pada segitiga siku-siku.
Berikut ini adalah pembahasan dan Kunci Jawaban Matematika Kelas 8 Semester 2 Halaman 22. Kunci jawaban ini dibuat untuk membantu mengerjakan soal matematika bagi kelas 8 di semester 2 halaman 22. Jawaban ayo kita berlatih 62 matematika kelas 8 uji kompetensi bab 6 hal 22.
